Notice
Recent Posts
Recent Comments
Link
| 일 | 월 | 화 | 수 | 목 | 금 | 토 |
|---|---|---|---|---|---|---|
| 1 | ||||||
| 2 | 3 | 4 | 5 | 6 | 7 | 8 |
| 9 | 10 | 11 | 12 | 13 | 14 | 15 |
| 16 | 17 | 18 | 19 | 20 | 21 | 22 |
| 23 | 24 | 25 | 26 | 27 | 28 | 29 |
| 30 |
Tags
- 빅세타
- Big-O 예제
- 일차변환
- one-to-one
- matrix fo a linear transformation
- Big-Oh 예제
- 빅오 표기법
- python
- Big Omega
- 알고리즘 분석의 실례
- recursive algorithms
- 빅오메가
- 랜덤 순서 배열
- Big Theta
- Big-Oh notation
- matrix trnasformations
- 코틀린 시작하기
- NumPy
- homogeneous linear system
- 이진 탐색
- nonhomogeneous linear system
- 페이지 겹칩
- 재귀함수
- linear dependence
- 배열 섞기
- 코틀린 Hello World!
- includepdf
- trivial solution
- nontrivial solution
- itertools
Archives
- Today
- Total
코딩 연습
LaTeX 수식 왼쪽 정렬하기 본문
반응형
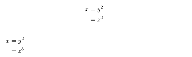
LaTeX 에서 수식은 가운데 정렬이 기본이다.
왼쪽 정렬을 하려면 다음과 같이 하면 된다.
% 기본은 가운데 정렬이다.
\begin{align*}
x &= y^2 \\ &= z^3
\end{align*}
%이렇게 하면 왼쪽 정렬이 된다.
\begin{flalign*}
x &= y^2 \\ &= z^3 &&
\end{flalign*}
align 뒤에 * 를 붙인 것은 수식번호를 생략하기 위해서다.
flalign 에서 fl 은 flushleft 가 아닐까 생각해 본다.
중요한 것은 수식의 맨 뒤에 && 를 붙여야 왼쪽 정렬이 된다는 것이다.
결과는 다음과 같다.

반응형
'LaTeX' 카테고리의 다른 글
| LaTeX 에서 나눗셈과 조립제법 표현하기 (0) | 2021.07.13 |
|---|---|
| LaTeX 에서 오지선다형 보기 만들기 (0) | 2021.07.07 |
| LaTeX 에서 수학문제 보기 상자 만들기 (1) | 2021.07.06 |
| LaTeX 의 enumerate 에서 한글 카운터 붙이기 (0) | 2021.07.06 |
| LaTex 에서 list 의 bullet 바꾸기 (0) | 2021.07.06 |
Comments