Notice
Recent Posts
Recent Comments
Link
| 일 | 월 | 화 | 수 | 목 | 금 | 토 |
|---|---|---|---|---|---|---|
| 1 | 2 | 3 | 4 | |||
| 5 | 6 | 7 | 8 | 9 | 10 | 11 |
| 12 | 13 | 14 | 15 | 16 | 17 | 18 |
| 19 | 20 | 21 | 22 | 23 | 24 | 25 |
| 26 | 27 | 28 | 29 | 30 |
Tags
- 빅세타
- NumPy
- 코틀린 Hello World!
- homogeneous linear system
- nontrivial solution
- Big Omega
- 알고리즘 분석의 실례
- nonhomogeneous linear system
- Big Theta
- 재귀함수
- 랜덤 순서 배열
- itertools
- 코틀린 시작하기
- 일차변환
- recursive algorithms
- Big-Oh 예제
- matrix fo a linear transformation
- python
- includepdf
- Big-Oh notation
- 이진 탐색
- 빅오 표기법
- Big-O 예제
- 배열 섞기
- 빅오메가
- 페이지 겹칩
- linear dependence
- trivial solution
- one-to-one
- matrix trnasformations
Archives
- Today
- Total
코딩 연습
LaTeX 에서 나눗셈과 조립제법 표현하기 본문
반응형
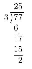
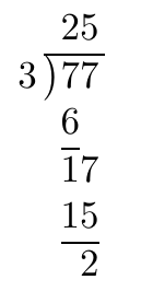
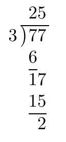
1. 자연수의 나눗셈
# longdivison 패키지를 사용하면 다음과 같은 결과를 얻을 수 있다.
\documentclass[a4paper,10pt]{article}
\usepackage{amsmath}
\usepackage{longdivision}
\begin{document}
\intlongdivision{77}{3}
\end{document}

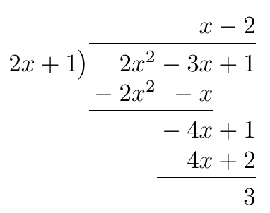
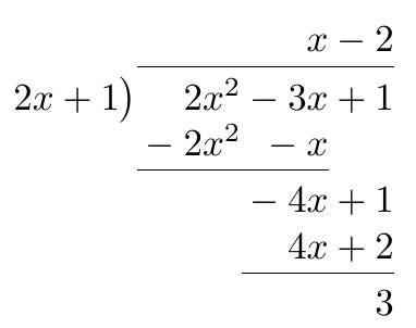
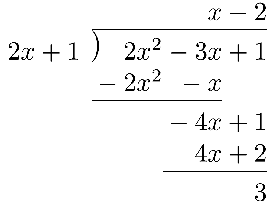
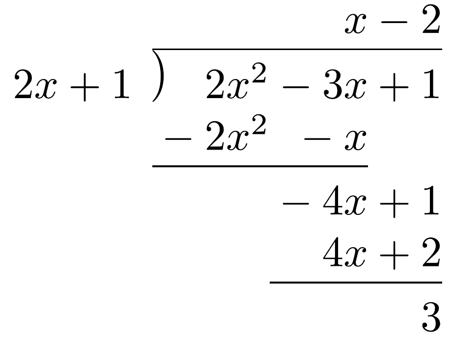
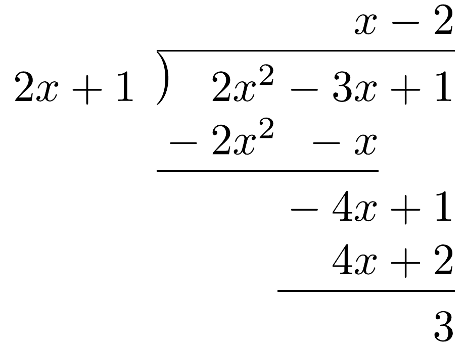
2. 다항식의 나눗셈
# polynom 패키지를 사용하면 다음과 같은 결과를 얻을 수 있다.
\documentclass[a4paper,10pt]{article}
\usepackage{amsmath}
\usepackage{polynom}
\begin{document}
\polylongdiv{2x^2-3x+1}{2x+1}
\end{document}

뭔가 부자연스러워 보인다면 inkscape 로 수정을 하면 된다.

3. 조립제법
# 역시 polynom 패키지를 사용하면 다음과 같은 결과를 얻을 수 있다.
\documentclass[a4paper,10pt]{article}
\usepackage{amsmath}
\usepackage{polynom}
\begin{document}
\polyhornerscheme[x=1]{x^3+x^2-1}
\end{document}

반응형
'LaTeX' 카테고리의 다른 글
| enumerate 에 align 수식이 들어갈 때, 수직 정렬 문제 (0) | 2021.07.15 |
|---|---|
| LaTeX 표 생성기 (table generator) (0) | 2021.07.13 |
| LaTeX 에서 오지선다형 보기 만들기 (0) | 2021.07.07 |
| LaTeX 수식 왼쪽 정렬하기 (0) | 2021.07.07 |
| LaTeX 에서 수학문제 보기 상자 만들기 (1) | 2021.07.06 |
Comments