Notice
Recent Posts
Recent Comments
Link
| 일 | 월 | 화 | 수 | 목 | 금 | 토 |
|---|---|---|---|---|---|---|
| 1 | 2 | 3 | ||||
| 4 | 5 | 6 | 7 | 8 | 9 | 10 |
| 11 | 12 | 13 | 14 | 15 | 16 | 17 |
| 18 | 19 | 20 | 21 | 22 | 23 | 24 |
| 25 | 26 | 27 | 28 | 29 | 30 | 31 |
Tags
- one-to-one
- matrix fo a linear transformation
- Big Theta
- nonhomogeneous linear system
- recursive algorithms
- 코틀린 Hello World!
- 이진 탐색
- itertools
- 빅오메가
- 빅세타
- matrix trnasformations
- 배열 섞기
- Big-O 예제
- 빅오 표기법
- 재귀함수
- 알고리즘 분석의 실례
- 페이지 겹칩
- includepdf
- trivial solution
- Big-Oh 예제
- NumPy
- 일차변환
- 랜덤 순서 배열
- nontrivial solution
- 코틀린 시작하기
- Big Omega
- python
- linear dependence
- Big-Oh notation
- homogeneous linear system
Archives
- Today
- Total
코딩 연습
enumerate 에 align 수식이 들어갈 때, 수직 정렬 문제 본문
반응형
enuerate 에서 item 에 align 수식이 들어가면 enumerate 번호와 수식의 수직정렬이 맞지 않는다.
이럴 때는 다음과 같이 해결하면 된다.
\documentclass{article}
\usepackage{amsmath}
\usepackage{dhucs-enumerate}
\begin{document}
\begin{enumerate}[(1)]
\item $\begin{aligned}[t] 3x^{3}+18x^{2}y+36xy^{2}+24y^{3}&= 3 \left (x^{3}+3 \cdot 2 x^{2}y+3\cdot 4xy^{2}+8y^{3} \right ) \\&= 3(x+2y)^{2} \end{aligned}$
\item $\begin{aligned}[t] 64x^{3}-27y^{3} &= (4x)^{3} - (3y)^{3} \\ &= (4x-3y) \left ( 16x^{2}+12xy+9y^{2} \right ) \end{aligned}$
\end{enumerate}
\end{document}
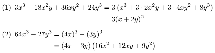
결과는 다음과 같다.

반응형
'LaTeX' 카테고리의 다른 글
| (LaTeX) 문서의 일부분만 줄간격을 변경하고 싶을 때 (0) | 2021.07.19 |
|---|---|
| svg 파일을 pdf 로 변환하기 (0) | 2021.07.15 |
| LaTeX 표 생성기 (table generator) (0) | 2021.07.13 |
| LaTeX 에서 나눗셈과 조립제법 표현하기 (0) | 2021.07.13 |
| LaTeX 에서 오지선다형 보기 만들기 (0) | 2021.07.07 |
Comments